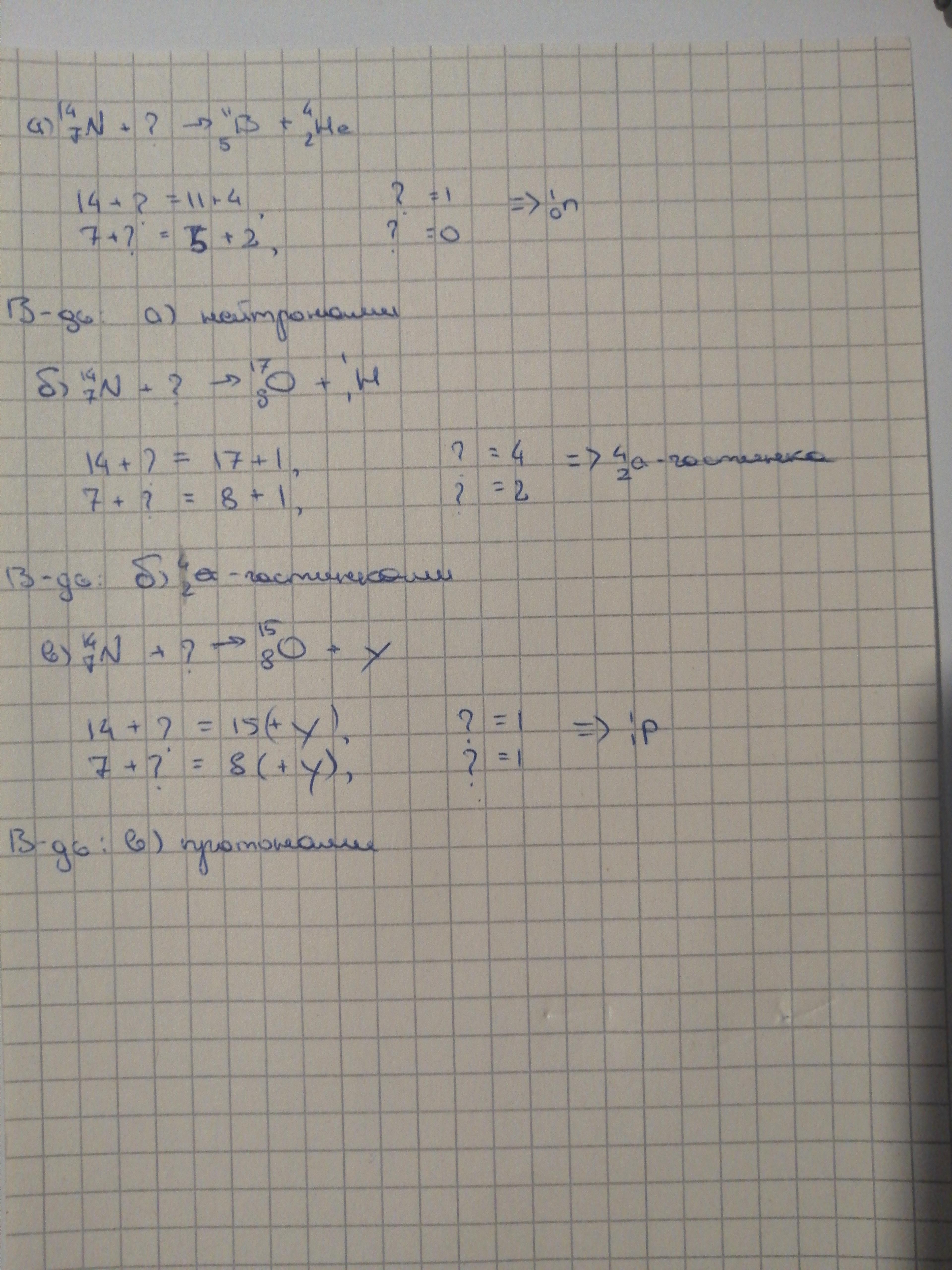
Унаслідок бомбардування ядер Нітрогену можуть утворюватися ядра атомів інших елементів. Визначте, бомбардування якими частинками спричинило такі ядерні реакції:
Приложения:

Ответы
Ответ дал:
7
Ответ:
Привіт! Сподіваюся, що все зрозуміло :)!
Відповідь:
а) нейтронами
б) а-частинками
в) протонами
Привіт
Объяснение:
Приложения:

beerdetective:
вже пізно, але все одно спасибі :)
Вас заинтересует
2 года назад
2 года назад
2 года назад
2 года назад
8 лет назад
8 лет назад
9 лет назад