• Предмет: Геометрия
  • Автор: kuroro76
  • Вопрос задан 7 лет назад

Помогите пожалуйста ​

Приложения:

Ответы

Ответ дал: merojkarimov09
0

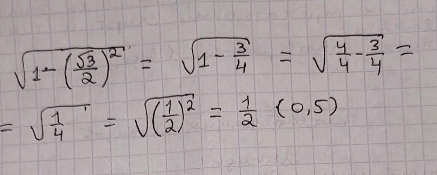
Формула:

cos²@ + sin²@ = 1

Ответ :

sin@ = 0,5

Приложения:
Вас заинтересует