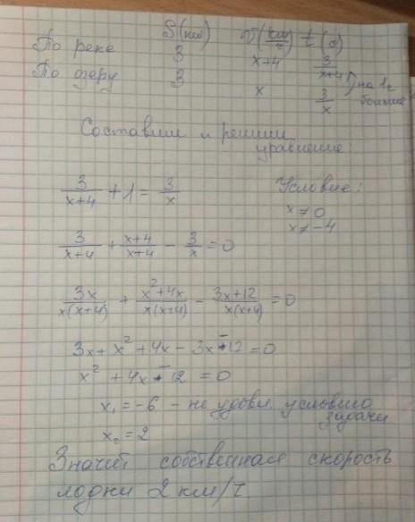
ТЕКСТ ЗАДАНИЯ Решите задачу с помощью уравнения. Лодка прошла 3 км по течению и 3 км по озеру, затратив на путь по озеру на 1 ч больше, чем на путь по реке. Скорость течения реки равна 4 км/ч. Найдите собственную скорость лодки
Ответы
Ответ дал:
1
Ответ:
Собственная скорость лодки 2 км/ч
Приложения:

Вас заинтересует
2 года назад
2 года назад
2 года назад
8 лет назад
8 лет назад
9 лет назад