• Предмет: Математика
  • Автор: fhftuiogct
  • Вопрос задан 7 лет назад

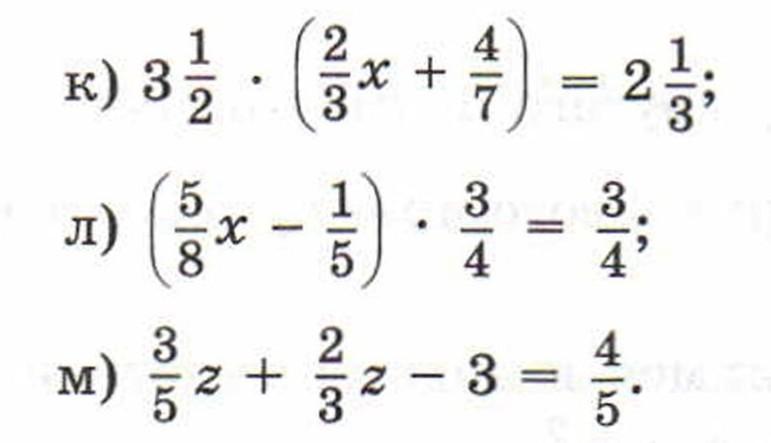
помогите плиз, буду благодарна если поможете! Отдаю все свои баллы ​

Приложения:

Ответы

Ответ дал: tatsach
2

Ответ:

Пошаговое объяснение:

Приложения:

fhftuiogct: спасибо большое!
tatsach: Пожалуйста
Ответ дал: Karik4g
0

Ответ:

Пошаговое объяснение:

.... ..

Приложения:
Вас заинтересует