• Предмет: Алгебра
  • Автор: ssssssami
  • Вопрос задан 7 лет назад

Помогите пожалуйста решить ​

Приложения:

Ответы

Ответ дал: yugolovin
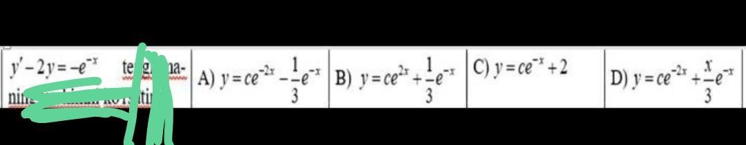
1

y'-2y=-e^{-x}. Решим сначала соответствующее однородное уравнение.  y'-2y=0; поскольку множество решений линейного однородного уравнения образует линейное пространство (размерности 1 в случае уравнения первого порядка), достаточно угадать одно ненулевое решение; это  y_1=e^{2x}. Общее решение однородного уравнения имеет вид  y_{00}=C_1e^{2x}.

Остается найти частное решение неоднородного уравнения, в нашем случае оно ищется среди функций вида. \bar y=Ae^{-x}. Подставим такую функцию в уравнение и найдем. A:

-Ae^{-x}-2Ae^{-x}=-e^{-x}; \ -3A=-1;\ A=\dfrac{1}{3}.

Ответ:   y=C_1e^{2x}+\dfrac{1}{3}e^{-x}.  


ssssssami: спасибо огромное
Вас заинтересует