• Предмет: Алгебра
  • Автор: Hgfhtdct56744640
  • Вопрос задан 7 лет назад

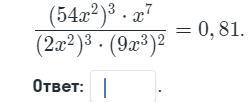
60 БАЛЛОВ///////////////////////////////
смтореть фото

Приложения:

Ответы

Ответ дал: Visanir
1

Ответ:

1/300

Объяснение:

Возможно, я пошел не самым лёгким путём.

Я в калькуляторе вместо х подставил 1/300 и вроде как получилось правильно

Приложения:
Вас заинтересует