• Предмет: Алгебра
  • Автор: Hgfhtdct56744640
  • Вопрос задан 7 лет назад

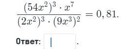
60 БАЛЛОВ,СМОТРЕТЬ ФОТО/////////

Приложения:

Ответы

Ответ дал: Azizovna17
0
X=1458/25•54^3 ответ
Вас заинтересует