• Предмет: Алгебра
  • Автор: Hgfhtdct56744640
  • Вопрос задан 7 лет назад

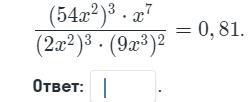
60 БАЛЛОВ, СМОТРЕТЬ ФОТО//////////

Приложения:

Ответы

Ответ дал: iaroslavgrigor
1

Ответ:

0,00333333

Вроде так..

Вас заинтересует