СРОЧНО! МАТЕМАТИКА 10 КЛАСС!
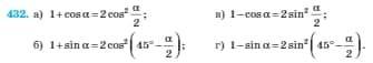
см. фото(весь номер)
Приложения:

markowka2008:
какой учебник?
Ответы
Ответ дал:
0
Ответ:
математика............
Приложения:


Вас заинтересует
2 года назад
2 года назад
2 года назад
8 лет назад
8 лет назад
9 лет назад
9 лет назад