• Предмет: Алгебра
  • Автор: meowvirt
  • Вопрос задан 7 лет назад

Помогите. Помогите.
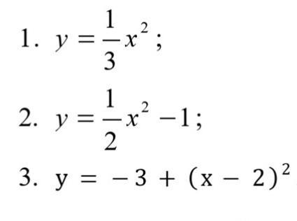
Нарисуйте графики заданных функций, напишите этапы построения. ​

Приложения:

Zombynella: Спасибо)

Ответы

Ответ дал: Zombynella
1

Ответ:

В решении.

Объяснение:

1. Дана функция: у = 1/3 х²  →  у = х²/3;

График - парабола, ветви направлены вверх. Придать значения х, подставить в уравнение, вычислить у, записать в таблицу.

  Таблица:

х   -6     -3     0     3      6

у    12     3      0    3      12

По вычисленным точкам построить параболу.

2. Дана функция у = 1/2 х² - 1  →  у = 0,5х² - 1;

График - парабола, ветви направлены вверх, центр смещён по оси Оу вниз на 1 единицу. Придать значения х, подставить в уравнение, вычислить у, записать в таблицу.

  Таблица:

х  -4     -3     -2     -1     0     1      2     3     4

у   7     3,5     1    0,5   -1   -0,5   1    3,5    7

По вычисленным точкам построить параболу.

3. Дана функция у = -3 + (х - 2)²  →  у = (х - 2)² - 3;

График - парабола, ветви направлены вверх, центр смещён по оси Ох вправо на 2 единицы и по оси Оу вниз на 3 единицы. Придать значения х, подставить в уравнение, вычислить у, записать в таблицу.

  Таблица:

х  -2     -1     0      1      2      3      4      5      6

у   13     6     1     -2     -3     -2      1      6     13

По вычисленным точкам построить параболу.

Приложения:

meowvirt: спасибо большое еще раз, вы лучшая на свете!! <3.
Zombynella: ))
Вас заинтересует