Ответы
Ответ дал:
0
Ответ:
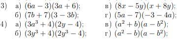
вот .номер задания обозначен как 3) и 4) а подпункты а)б)в)г)
Приложения:

Вас заинтересует
2 года назад