• Предмет: Алгебра
  • Автор: Аноним
  • Вопрос задан 7 лет назад

ПОМОГИТЕ, даю 25 баллов!

Приложения:

Ответы

Ответ дал: ytyytff
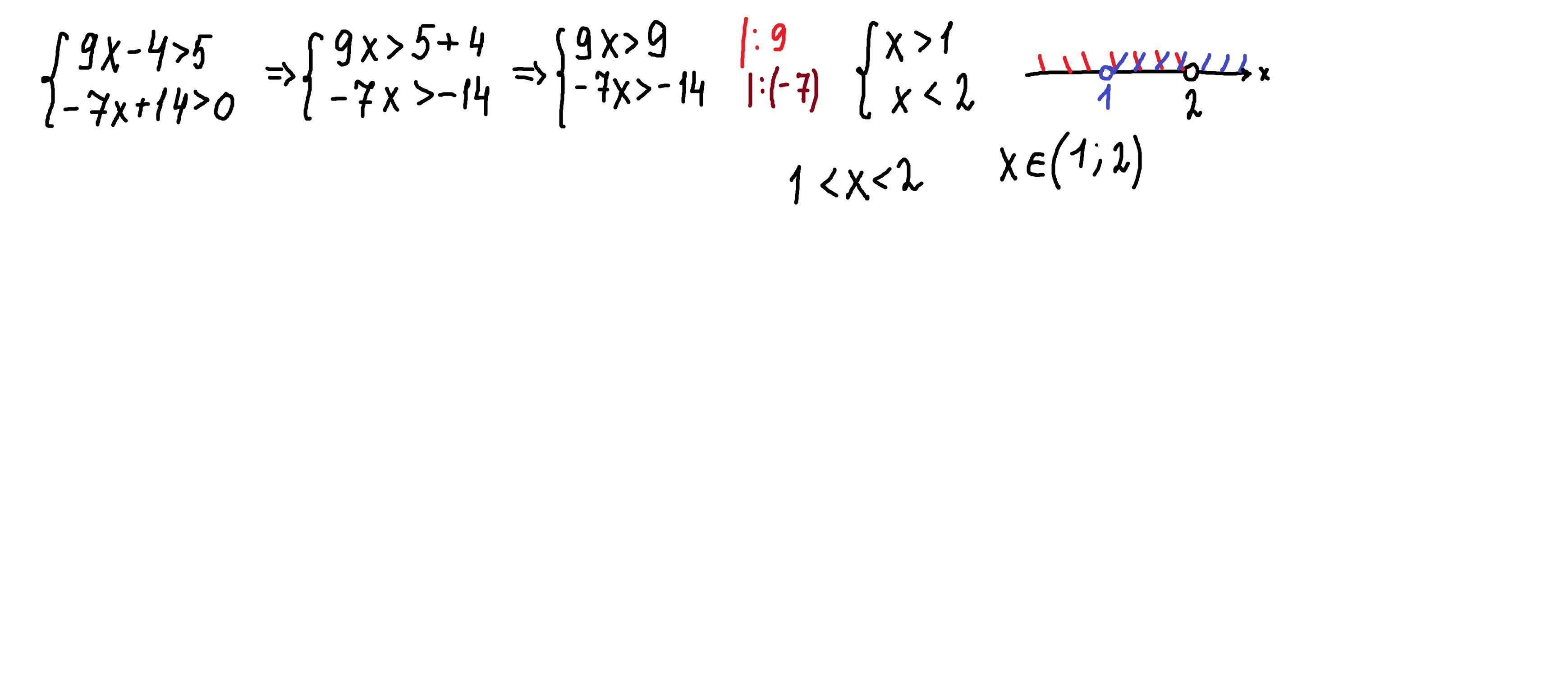
1

Ответ:

x принадлежит (1:2)

Объяснение:

Ответ дал: parus77
2

Ответ:

х∈(1;2)

Объяснение:

Приложения:
Вас заинтересует