• Предмет: Алгебра
  • Автор: Foxi206
  • Вопрос задан 7 лет назад

Помогите пожалуйста!
Постройте график и распишите как построили

Приложения:

milanabazanova97: щнсшчнчшвеш

Ответы

Ответ дал: coner46
1

Объяснение:

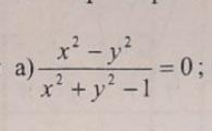
Сперва приведем данное выражение к y = f(x)

Дробь равна 0, когда числитель(!) равен 0:

x²-y² = 0

y² = x²

|y| = |x|

Причем x ≠ √(1-y²)

Подставим несколько значений:

x = 0 → y = 0

x = 1 → |y| = 1 → y = ±1

x = 2 → y = ±2

x = -1 → |y| = |-1| → |y| = 1 → y = ±1

x = -2 → y = ±2

...

x = ±k → y = ±k

Приложения:

Foxi206: Спасибо!
Вас заинтересует