• Предмет: Алгебра
  • Автор: Foxi206
  • Вопрос задан 7 лет назад

Помогите пожалуйста!
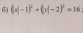
Постройте график и распишите как построили

Приложения:

68tata: без модуля :уравнение круга с центром в токе О с координатами О(1;2) , а вот с модулемнадо подумать
68tata: радиус 4 единицы

Ответы

Ответ дал: m11m
2

Ответ:

Объяснение:

!!!!!!!!!!!!!!!!!!!!!!!!!!

Приложения:

versachexdior: можете помочь мне m11m
Вас заинтересует