• Предмет: Математика
  • Автор: andranikmargaryan96
  • Вопрос задан 7 лет назад

Всех приветствую. Помогите, пожалуйста.
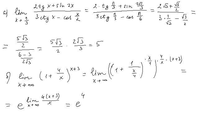
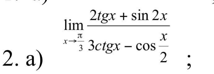
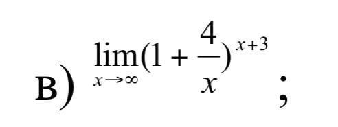
Нужно найти пределы:

Приложения:

Ответы

Ответ дал: dashulka22222
1

Ответ:

Пошаговое объяснение:

Приложения:
Вас заинтересует