• Предмет: Алгебра
  • Автор: vertu345
  • Вопрос задан 7 лет назад

Помогите пожалуйста решить интеграл

Приложения:

Ответы

Ответ дал: yevheniiavz
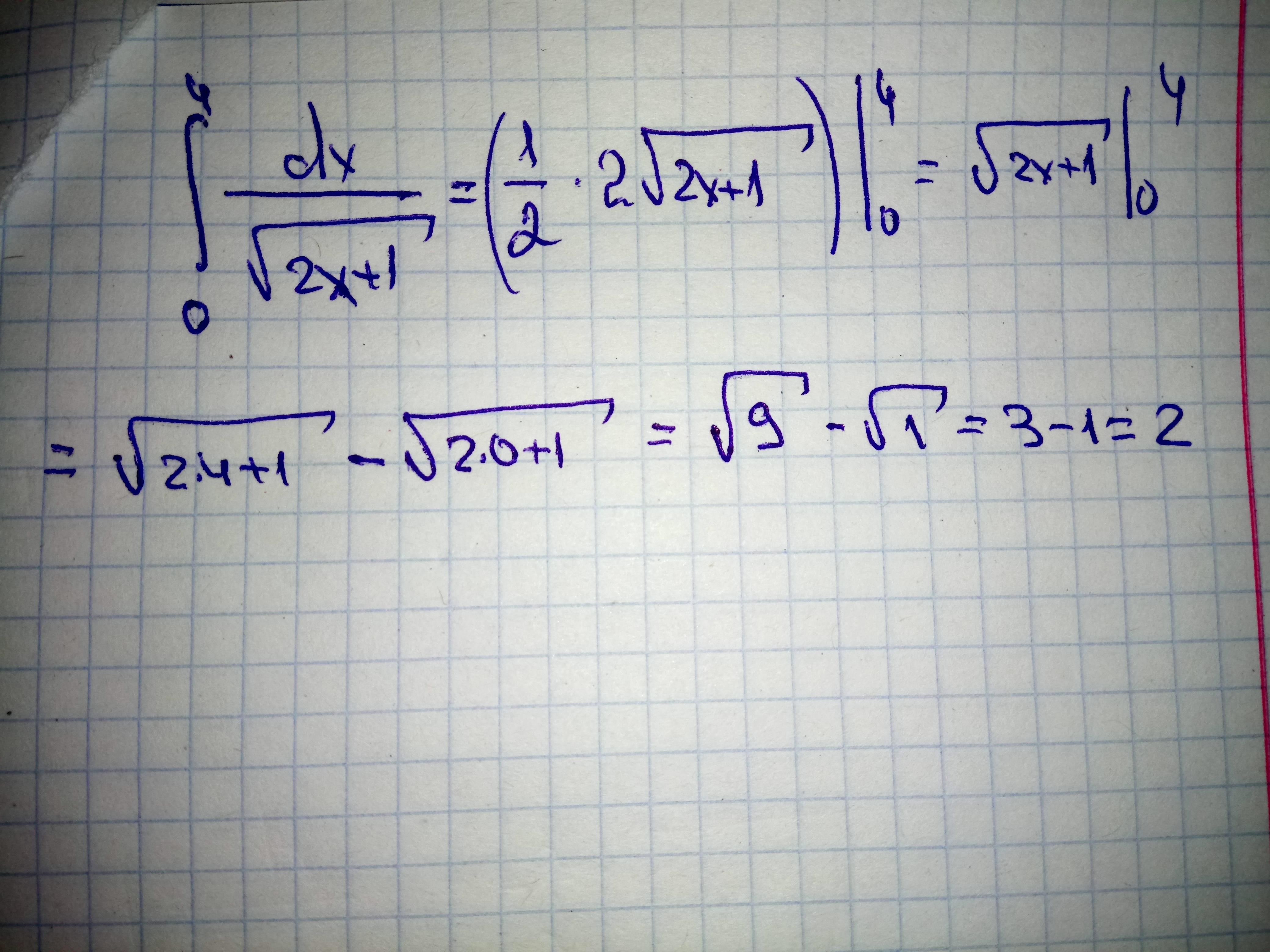
1

смотрите фото.......

Приложения:

Аноним: помогите с профильной математикой 2 часть ЕГЭ, пожалуйста
Ответ дал: Аноним
2

Ответ:

Объяснение:

2

Фото

Приложения:

Аноним: помогите с профильной математикой 2 часть ЕГЭ, пожалуйста
Аноним: господи иисусе, умоляю
Вас заинтересует