Ответы
Ответ дал:
1
Ответ:
Объяснение:
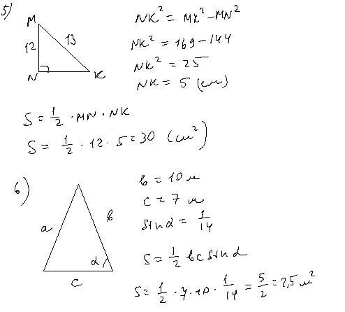
5) используем теорему Пифагора, находим катет. Площадь равна половине произведения катетов
6) используем формулу S=0.5*b*c*sinA
Приложения:

Вас заинтересует
2 года назад
2 года назад
2 года назад
2 года назад
8 лет назад
9 лет назад
9 лет назад