Ответы
Ответ дал:
1
Ответ:
-36
Объяснение:
Заметим , что выражение равносильно
-(0,5х+у)^2 ^2 -возведение в квадрат
0,5х+у=18-12=6
значит выражение равно -36
kiramiiheeva01042008:
ахахахаха ладно
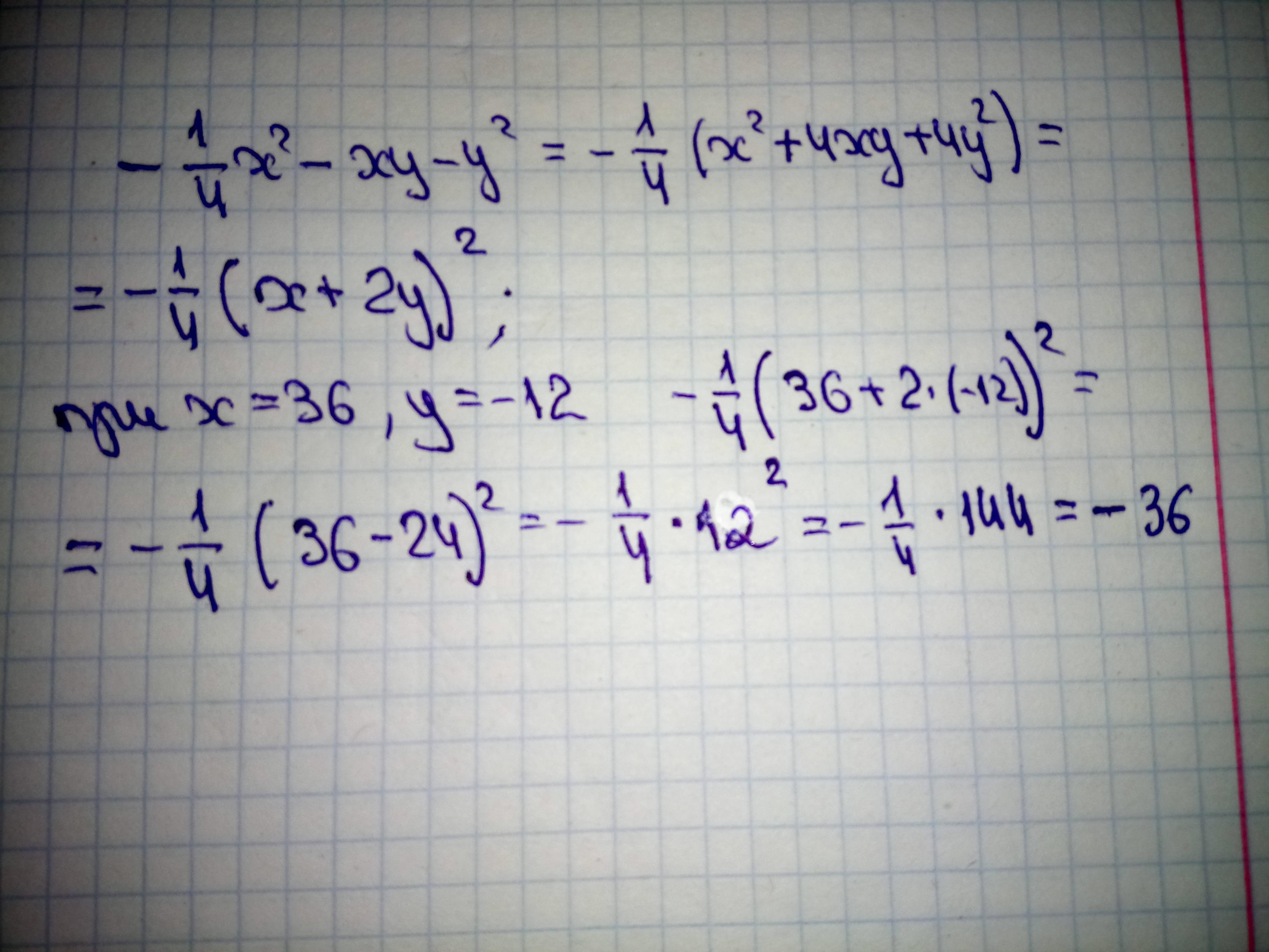
Ответ дал:
2
Ответ:
Объяснение:
-36
Приложения:

Вас заинтересует
2 года назад
2 года назад
2 года назад
8 лет назад
9 лет назад