• Предмет: Алгебра
  • Автор: GrigGan
  • Вопрос задан 7 лет назад

Здравствуйте, нужна ваша помощь, заранее спасибо вам за ответ

Приложения:

Ответы

Ответ дал: aristoktararistokrat
2

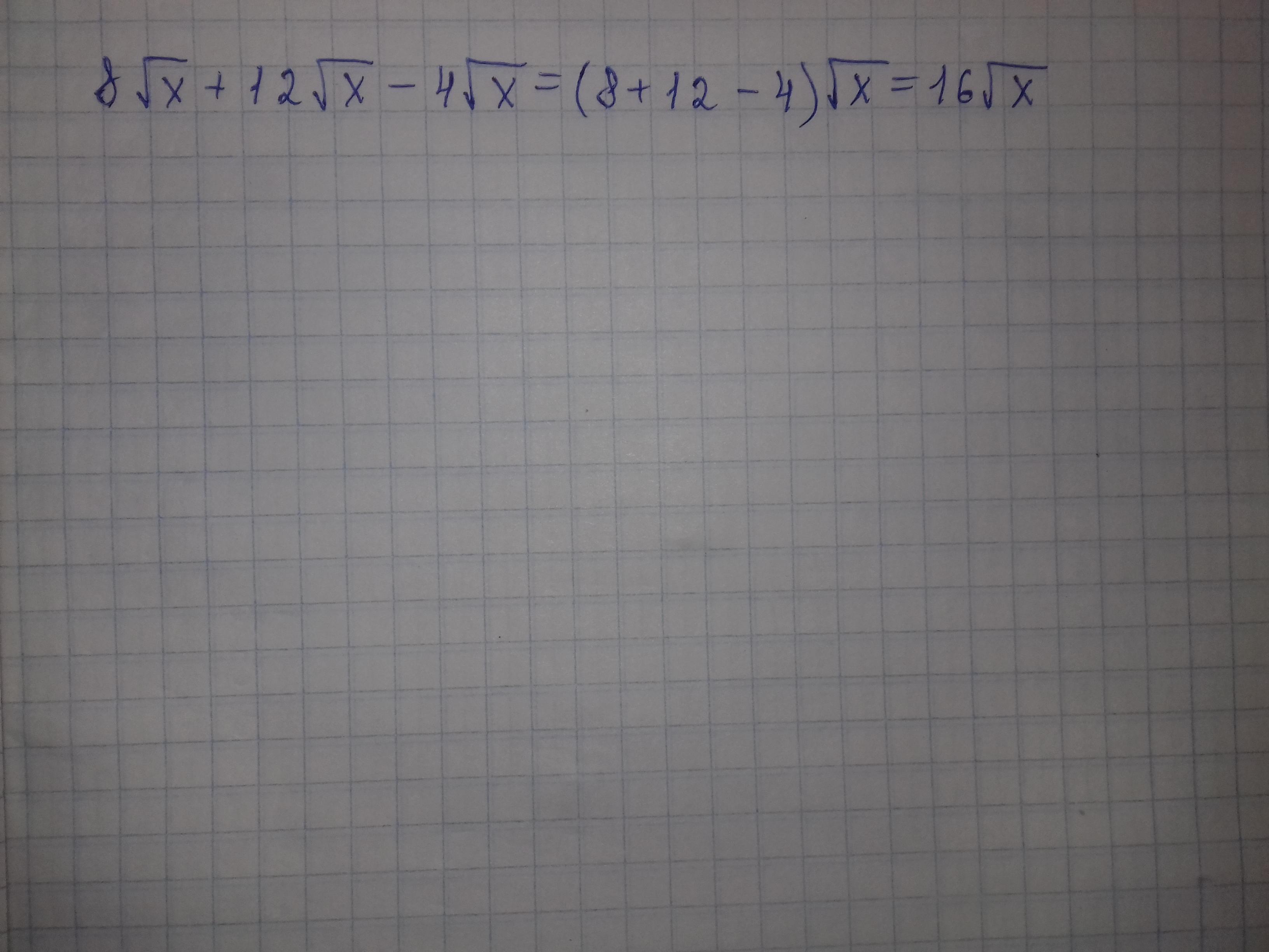
8√x +12√x-4√x=(8+12-4)√x=16√x

Ответ: 16√x

Ответ дал: sadykovanatalya2004
0

Ответ:

Смотри фото ниже.

Объяснение:

Приложения:
Вас заинтересует