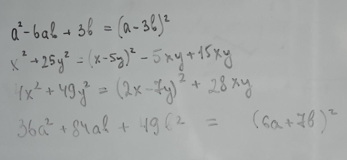
Напишите вместо точек выражение,чтобы равенство было верным
1)а^2-6ab+...=(a-3b)
2)x^2+25y^2=(x-5y)^2-...
3)4x^2+49y^2=(2x-7y)^2+...
4)36a^2+84ab+..=(6a+7b)^2
ПОМОГИТЕ СРОЧНО ДАЮ 20 БАЛЛОВ!!!!!!!!!!!!
Ответы
Ответ дал:
1
Ответ:
на фотооооооо
Пошаговое объяснение:
смотри на фото. формулы сокращённого умножения квадрат суммы, квадрат разности.
Приложения:

Вас заинтересует
2 года назад
2 года назад
2 года назад
2 года назад
8 лет назад
8 лет назад
9 лет назад