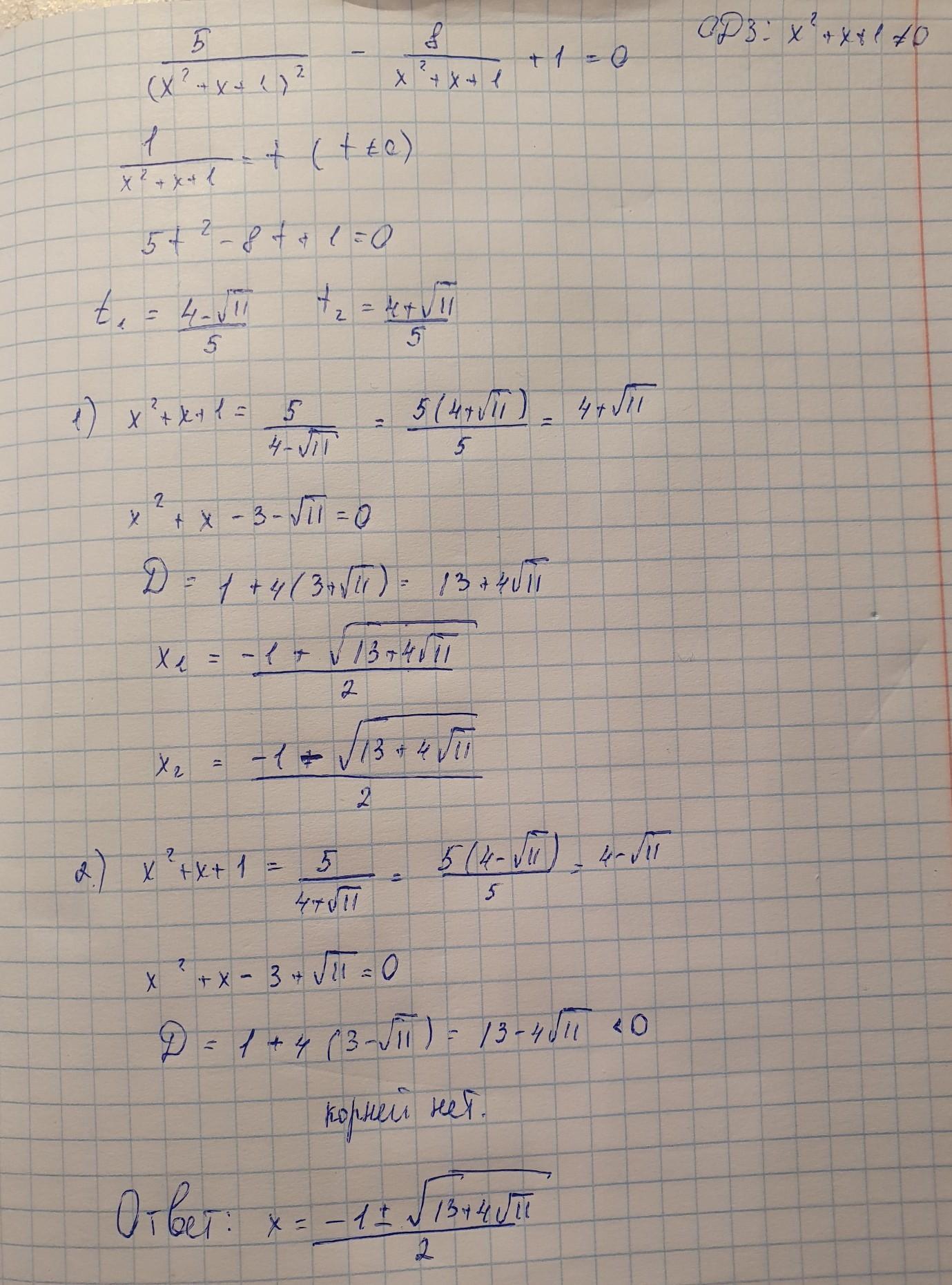
5/(х^2+х+1)^2 - 8/х^2+х+1=0 Внизу фото прикреплю данного уравнения.
Пожалуйста решите уравнение.Дробно рациональное уравнение заменой переменной.
Приложения:

Ответы
Ответ дал:
2
Объяснение:
Что за извращенцы задают такие стремные задачи?
Приложения:

Вас заинтересует
2 года назад
2 года назад
8 лет назад
9 лет назад
9 лет назад
5/(х^2+х+1)^2 - 8/(х^2+х+1) + 1 = 0