• Предмет: Алгебра
  • Автор: Аноним
  • Вопрос задан 7 лет назад

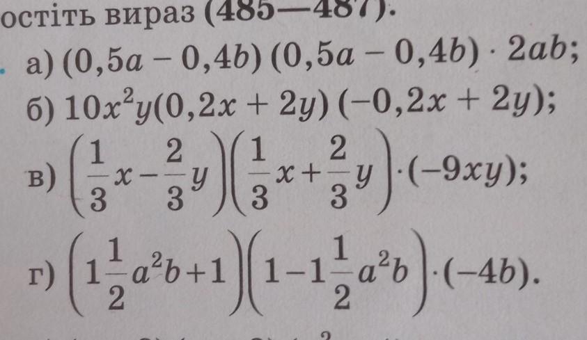
допоможіть дам 85балів​

Приложения:

Ответы

Ответ дал: ebanashkaaa
0

Ответ:

1) 0,5x3y-0.8x2y2+0.32y3x

2) -0,4x3y+4x2y2-4x3y2+40x2y3

Объяснение:

Вас заинтересует