• Предмет: Алгебра
  • Автор: bugay24
  • Вопрос задан 7 лет назад

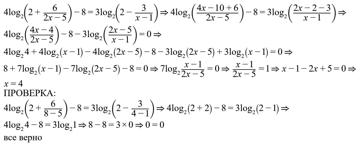
100 БАЛЛОВ, ПОМОГИТЕ ПОЖАЛУЙСТА!!! С полным решением ПРОШУУУУУ

Приложения:

Ответы

Ответ дал: motras27
1

Если мотодом подстановки, то подходит толь 4.

Ответ дал: palilov243659
1

Ответ:

4

Объяснение:

здесь проще сделать проверку, чем найти ОДЗ.

Приложения:
Вас заинтересует