• Предмет: Алгебра
  • Автор: zzrex
  • Вопрос задан 7 лет назад

Помогите пожалуйста)

Приложения:

Ответы

Ответ дал: larisaserova53
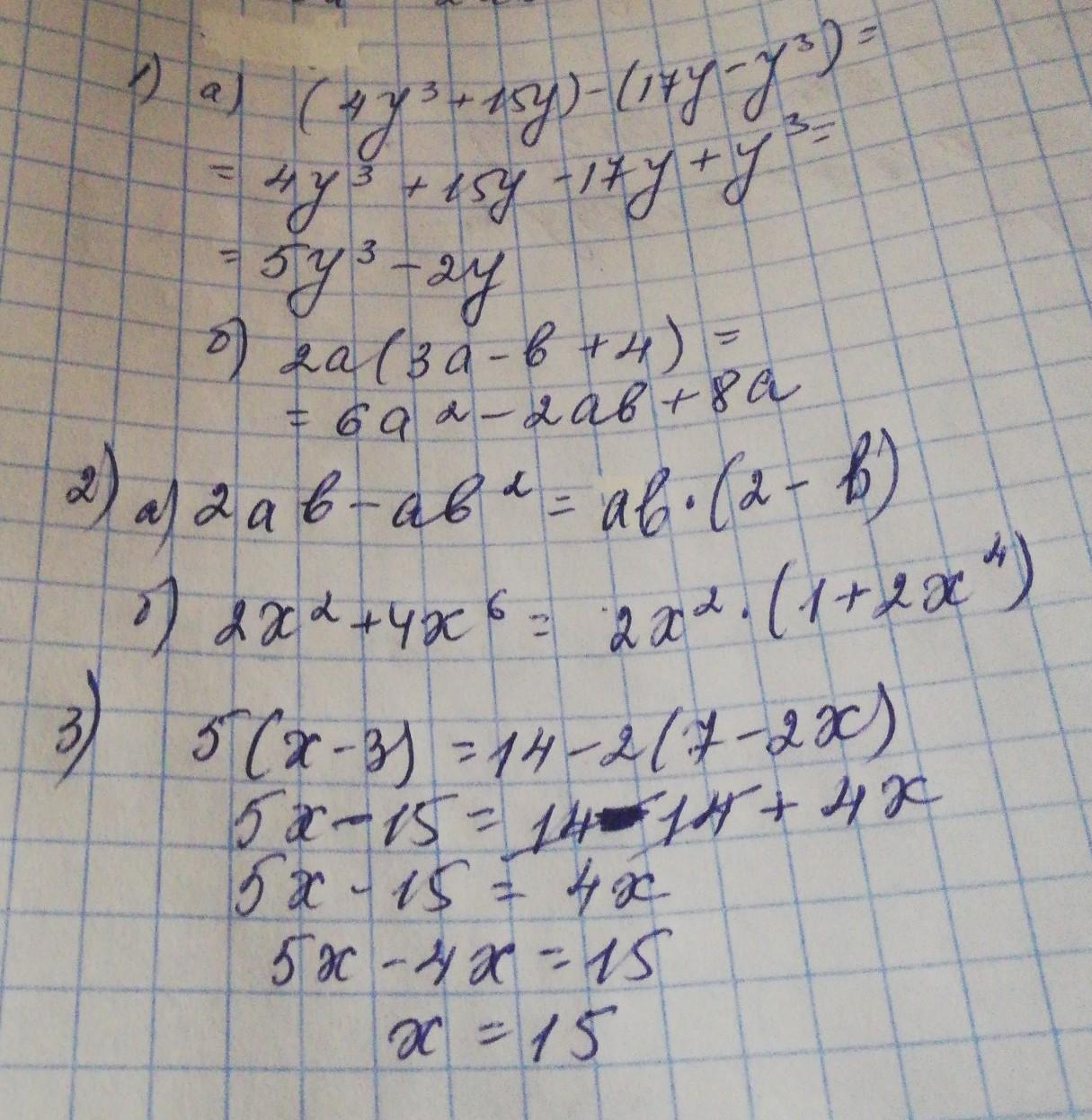
1

Ответ:

Смотри решение на фото..

Приложения:

versachexdior: помогите мне по матеиатике
Ответ дал: souchou
1

1. Выполните действия:

а) (4y³ + 15y) - (17y - y³) = 4y³ + 15y - 17y + y³ =

= (4 + 1) · y³ + (15 - 17) · y = 5y³ - 2y;

б) 2a (3a - b + 4) = 2a · 3a - 2ab + 2a · 4 =

= 6a² - 2ab + 8a.

2. Вынесите общий множитель за скобки:

а) 2ab - ab² = ab (2 - b);

б) 2x² + 4x⁶ = 2x² (1 + 2x⁴).

3. Решите уравнение 5 (x - 3) = 14 - 2 (7 - 2x).

5 (x - 3) = 14 - 2 (7 - 2x)

5x - 5 · 3 = 14 - 2 · 7 + 2 · 2x

5x - 15 = 14 - 14 + 4x

5x - 15 = 4x

5x - 4x = 15

x = 15

Вас заинтересует