• Предмет: Математика
  • Автор: samsung192
  • Вопрос задан 7 лет назад

Помогите пожалуйста срооооооочно​

Приложения:

Ответы

Ответ дал: gordienkoegor2007
1

Ответ:

1

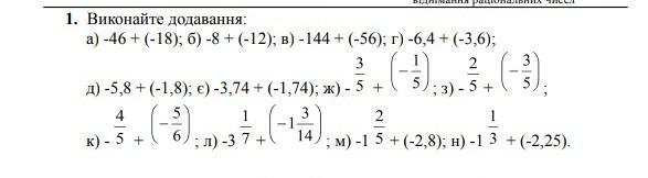
а -64 б -20 в -200 г -10 д -7,6 е -5,48 ж -0,8 з -1 к -1 19/30 л -4 5/14 м -4,2 н -3 7/12

Пошаговое объяснение:


samsung192: Спасибо большое ❤️
Вас заинтересует