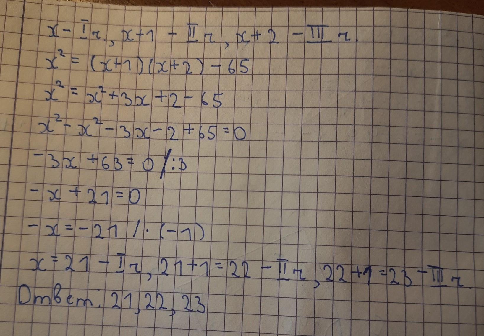
. Найдите три последовательных натуральных числа, если известно, что квадрат меньшего из них на 65 меньше произве- дения двух остальных.
Ответы
Ответ дал:
1
Ответ:
21,22,23
Решение смотри на фотографии
Приложения:

velikiumnik:
Поставь лучший ответ, пожалуйста
Вас заинтересует
2 года назад
2 года назад
2 года назад
2 года назад
8 лет назад
8 лет назад
9 лет назад
9 лет назад