Помогите решить пожалуйста -_____-
1. Длина алюминиевого провода 600 м, площадь его поперечного сечения 3 мм2, Чему равно сопротивление провода?
2. Медный провод с площадью поперечного сечения 0,75 мм2 обладает сопротивлением 5 Ом. Какова длина провода?
3. Длина серебряного провода 0,8 м, а сопротивление 0,015 Ом. Определите площадь поперечного сечения провода.
4. Сопротивление проволоки длиной 1 км равно 5,6 Ом. Определите напряжение на каждом участке проволоки длиной 100 м, если сила тока в ней 7 мА.
5. Определите силу тока, проходящего через реостат, изготовленный из никелиновой проволоки длиной 50 м и площадью поперечного сечения 1 мм2, если напряжение на зажимах реостата равно 45 В.
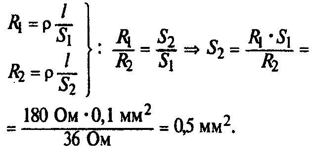
6. Сопротивление проволоки, у которой площадь поперечного сечения 0,1 мм2, равно 180 Ом. Какой площади поперечного сечения надо взять проволоку той же длины и из того же материала, чтобы получить сопротивление 36 Ом?
Ответы
Ответ дал:
2
Ответ:
1.
Дано:
p=0,028 (Ом*мм^2)/м
L=600м
S=3мм^2
R=?
Решение:
R=(p*L)/S
R=(0,028*600)/3=5,6 Ом
Ответ: R=5,6 Ом
2.
Дано:
S=0,75мм^2
R=5 Ом
p=0,017 (Ом*мм^2)/м
L=?
Решение:
R=(p*L)/S
L=RS/p
L=5*0,75/0,017=200м
Ответ:200м
3.
Дано:
L=0,8 м
R=0,015 Ом
p=0,015 Ом*мм^2/м
S=?
Решение:
R=p*L/S
S=p*L/R=0,015*0,8/0,015=0,8 мм^2
Ответ:0,8 мм^2
4.
Дано:
R1=5,6 Ом
L1=1000м
L2=100м
I=7мА
U=?
Решение:
R1*S/L1=R2*S/L2=R1/L1=R2/L2 отсюда R2=R1*L2/L1
U=IR2=IR2*L2/L1=0,007*5,6*100/1000~3,9мВ
Ответ: 3,9 мВ
5.
Дано:
L=50м
S=1мм^2
U=45B
p=0,4 Ом*мм^2/м
I=?
Решение:
I=U/R ; R=p*(L)/S ;
I=(U*S)/p*L
I=(45B*1мм^2)/0,4*50=2,25 А
Ответ: 2,25 А
шестое наверху
Приложения:


Вас заинтересует
2 года назад
2 года назад
2 года назад
8 лет назад
9 лет назад