• Предмет: Математика
  • Автор: rodionovk42
  • Вопрос задан 7 лет назад

пожалуйста срочно помогите
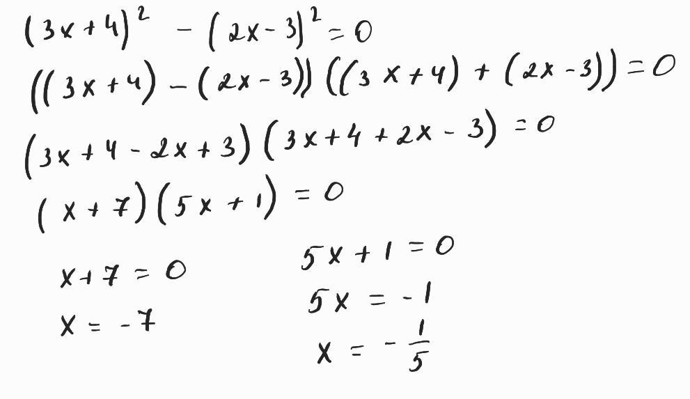
(3x+4)²-(2x-3)²=0

Ответы

Ответ дал: Ляляляля109
0

Все на фото, если что-то не понятно, спрашивай.

Приложения:
Ответ дал: palilov243659
0

Ответ:

-7; -0,2

Пошаговое объяснение:

(3x+4)²-(2x-3)²=0⇒(3х+4+2х-3)(3х+4-2х+3)=0⇒(5х+1)(х+7)=0⇒х1=-0,2; х2=-7

Вас заинтересует