• Предмет: Физика
  • Автор: novytskyioleksandr
  • Вопрос задан 7 лет назад

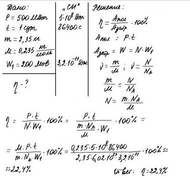
3. Визначте ККД атомної електростанції потужністю
500 МВт, якщо кожну добу вона витрачає 2,35 кг 92 U.
235

Ответы

Ответ дал: malashii
5

Ответ:

Объяснение:Тут все розписано.Если правильно понял условие.

Приложения:
Вас заинтересует