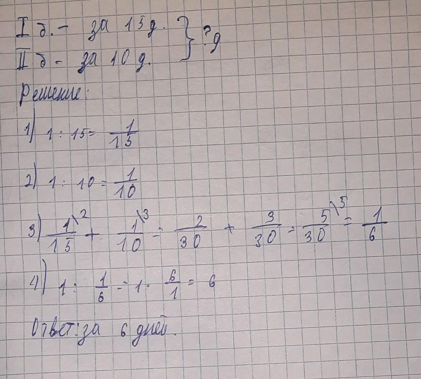
штукатуры первой бригады могут заштукатурить дом за 15дней а штукатуры второй бригады 10дней .За сколько дней могут выполнить штукатурить дома за две бригады
jekadva:
= 6дней могут выполнить штукатурить дома за две бригады
Ответы
Ответ дал:
1
Ответ:
кажется будет так
Приложения:

Вас заинтересует
2 года назад
2 года назад
2 года назад
8 лет назад
8 лет назад