• Предмет: Алгебра
  • Автор: avroralevdikova
  • Вопрос задан 7 лет назад

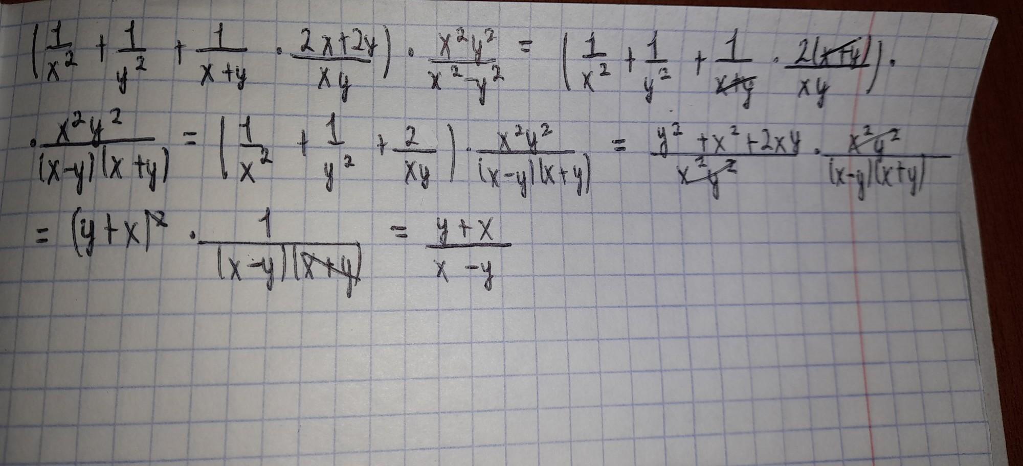
Помогите пожалуйста! Не получается решить

Приложения:

Ответы

Ответ дал: jwiwisnz
1

Ответ:

Надеюсь помогла)))))))

Приложения:
Ответ дал: natabyl
1

Ответ:

см фото

Объяснение:

Приложения:
Вас заинтересует