• Предмет: Алгебра
  • Автор: viktoriamartynova120
  • Вопрос задан 7 лет назад

Помогите решить плиииз. Даю 40 баллов

Приложения:

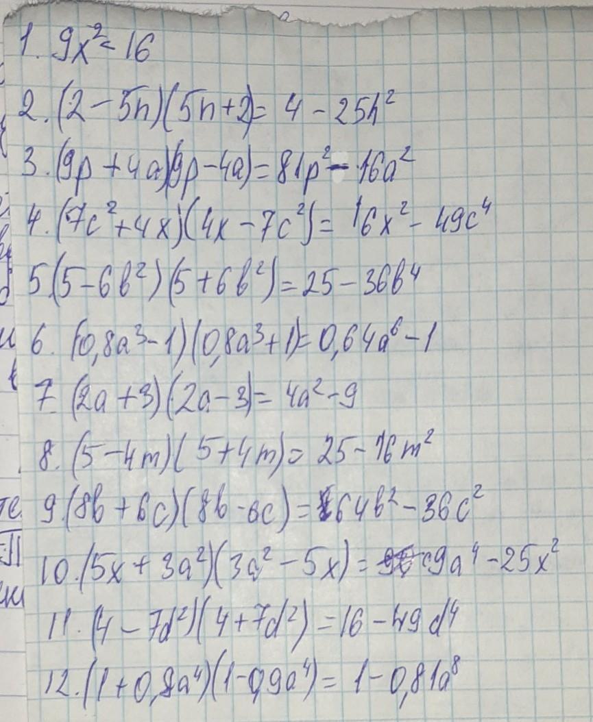
samandar13072005: 4)16x²-49c⁴
samandar13072005: 5)25-36b⁴
samandar13072005: 6)0,64a⁶-1
samandar13072005: 7)4a²-9
samandar13072005: 8)25-16m²
samandar13072005: 9)64b²-36c²
samandar13072005: 10)9a⁴-25x²
samandar13072005: 11) 16-49d⁴
samandar13072005: 12)1-0,81a⁸
samandar13072005: По формуле a²-b²=(a+b)(a-b)

Ответы

Ответ дал: KeyzGou
1

Ответ:

.........................

Приложения:

viktoriamartynova120: Благодарю)
Вас заинтересует