Ответы
Ответ дал:
0
Ответ:
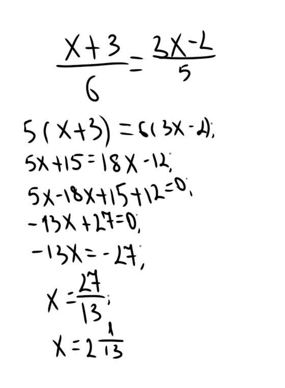
Х=27/13.Решение нужно?
Ответ дал:
0
Ответ:
2 1/13.
Объяснение:
Решение прикреплено сверху.
Приложения:

Вас заинтересует
2 года назад
2 года назад
2 года назад
2 года назад
8 лет назад
8 лет назад
9 лет назад
9 лет назад