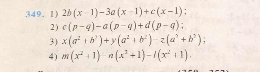
Разложите на множители
Приложения:

ychenuk:
так они разложены. Может надо наоборот открыть скобки?
Ответы
Ответ дал:
1
Ответ:
1) = (2b-3a+c)(x-1)
2) = (c-a+d)(p-q)
3) = (x+y-z)(a²+b²)
4) = (m-n-l)(x²+1)
Ответ дал:
0
Это задаия на вынесение за скобки общего множителя.
Разложить на множители - значит, представить в виде произведения.
Можно заметить, что каждое слагаемое данных многочленов есть произведение одночлена и многочлена (в скобках) и в каждом заданиии выражения в скобках одинаковы, т.е. их можно вынести за скобки.
Поэтому:
1) 2b(x - 1) - 3a(x - 1) + c(x - 1) = (x - 1)(2b - 3a + c);
2) c(p - q) - a(p - q) + d(p - q) = (p - q)(c - a + d);
3) x(a² + b²) + y(a² + b²) - z(a² + b²) = (a² + b²)(x + y - z);
4) m(x² + 1) - n(x² + 1) - l(x² + 1) = (x² + 1)(m - n - l).
Вас заинтересует
2 года назад
2 года назад
2 года назад
8 лет назад
9 лет назад