АЛГЕБРА 11 КЛАСС. Помогите решить срочно, пожалуйста, по свойствам определенного интеграла. (Ничего не понимаю))))
Приложения:

Ilyazov45:
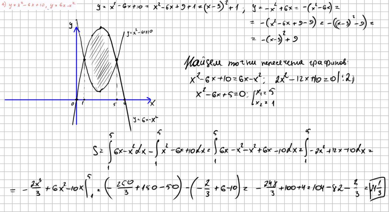
Найти площадь фигуры ограниченной линиями?
Ответы
Ответ дал:
1
Ответ:
1)
2)
3)
Объяснение: На фото
Приложения:



Вас заинтересует
2 года назад
2 года назад
2 года назад
8 лет назад
8 лет назад
9 лет назад
9 лет назад