• Предмет: Алгебра
  • Автор: anastasija2013
  • Вопрос задан 11 лет назад

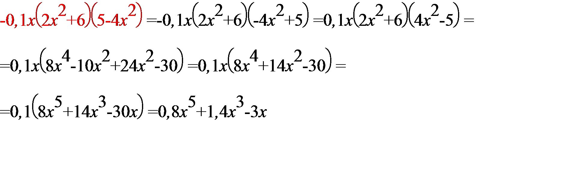
Упростите выражение: -0,1x(2x^2 +6)(5-4x^2 )

Ответы

Ответ дал: triolana
0

файл

=======================

Приложения:
Ответ дал: симпампуличка
0

-0,1x(2x^2 +6)(5-4x^2)=(-0,2x^3-0,6x)(5-4x^2)=-x^3-3+0,8x^5+2,4x^3=0,8x^5+1,4x^3-3

Приложения:
Вас заинтересует