• Предмет: Алгебра
  • Автор: grejannota
  • Вопрос задан 7 лет назад

помогите пожалуйста срочно​

Приложения:

Ответы

Ответ дал: VladyslavBaranov
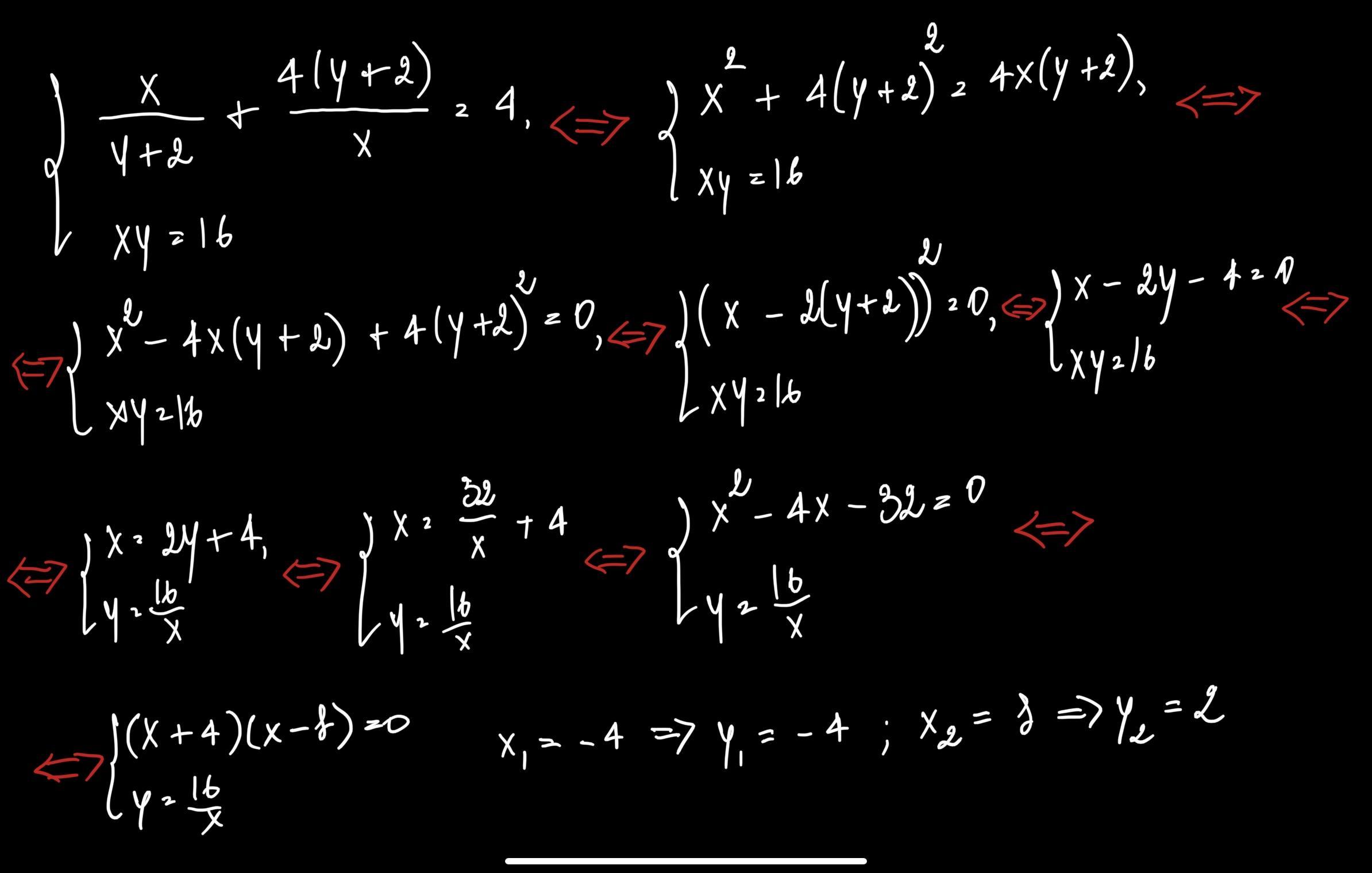
1

Ответ: (-4; -4), (8; 2)

Объяснение:

Проверка 1:

{ -4 / (-4 + 2) + 4 (-4 + 2) / -4 = 2 + -8 / -4 = 2 + 2 = 4

{ -4 * -4 = 16

Проверка 2:

{ 8 / (2 + 2) + 4 (2 + 2) / 8 = 2 + 2 = 4

{ 8 * 2 = 16

Подробное решение на фото:

Приложения:
Вас заинтересует