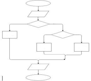
Дано целое число. Если оно является положительным, то вычтите из него 10; если отрицательным, то прибавьте к нему 10; если нулевым, то заменить его на 5. Вывести полученное число. Заполните блок-схему. ХЕЕЕЕЕЛП
Приложения:

Ответы
Ответ дал:
0
Ответ:
Не уверен, но вроде так.
Объяснение:
Приложения:

Вас заинтересует
2 года назад
2 года назад
2 года назад
8 лет назад
8 лет назад