• Предмет: Математика
  • Автор: bebrochka12
  • Вопрос задан 7 лет назад

помогите пожалуйста решить контроху по матеше, срочно. Буду очень благодарен!!!

Приложения:

Ответы

Ответ дал: svetlanavaslarionova
2

Ответ:

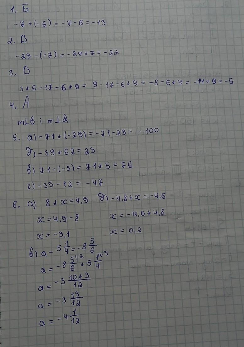
1)-7+(-6)=-13

2)-29-(-7)=-29+7=-22

3)3+6-17-6+9=12-17=-5

4)А)

5)а)-71-29=-100

б)-39+62=23

в)71-(-5)=71+5=76

г)-35-12=-45

6)а)8+х=4,9

х=4,9-8

х=-3,1

б)-4,8+х=-4,6

х=-4,6+4,8

х=0,2

в)а-5 1/4=-8 5/6

а=-8 5/6+5 1/4

а=-8 10/12+5 3/12

а=-3 7/12

7) х - игрушки изготовленные 3 мастером

х+25 - игрушки,сделанные вторым мастером

х+25+4 - первый мастер

х+х+25+х+25+4=450

3х=396

х=132

Ответ:132 -3 мастер

157 - 2 мастер

161 - 1 мастер

8)

Ответ дал: lalichsofia
2

Ответ:

Решение на фото

Пошаговое объяснение:

Надеюсь помогла!

Приложения:
Вас заинтересует