ПОМОГИТЕЕ!!! ДАЮ 15 БАЛЛОВ!
Вынеси общий множитель за скобки:
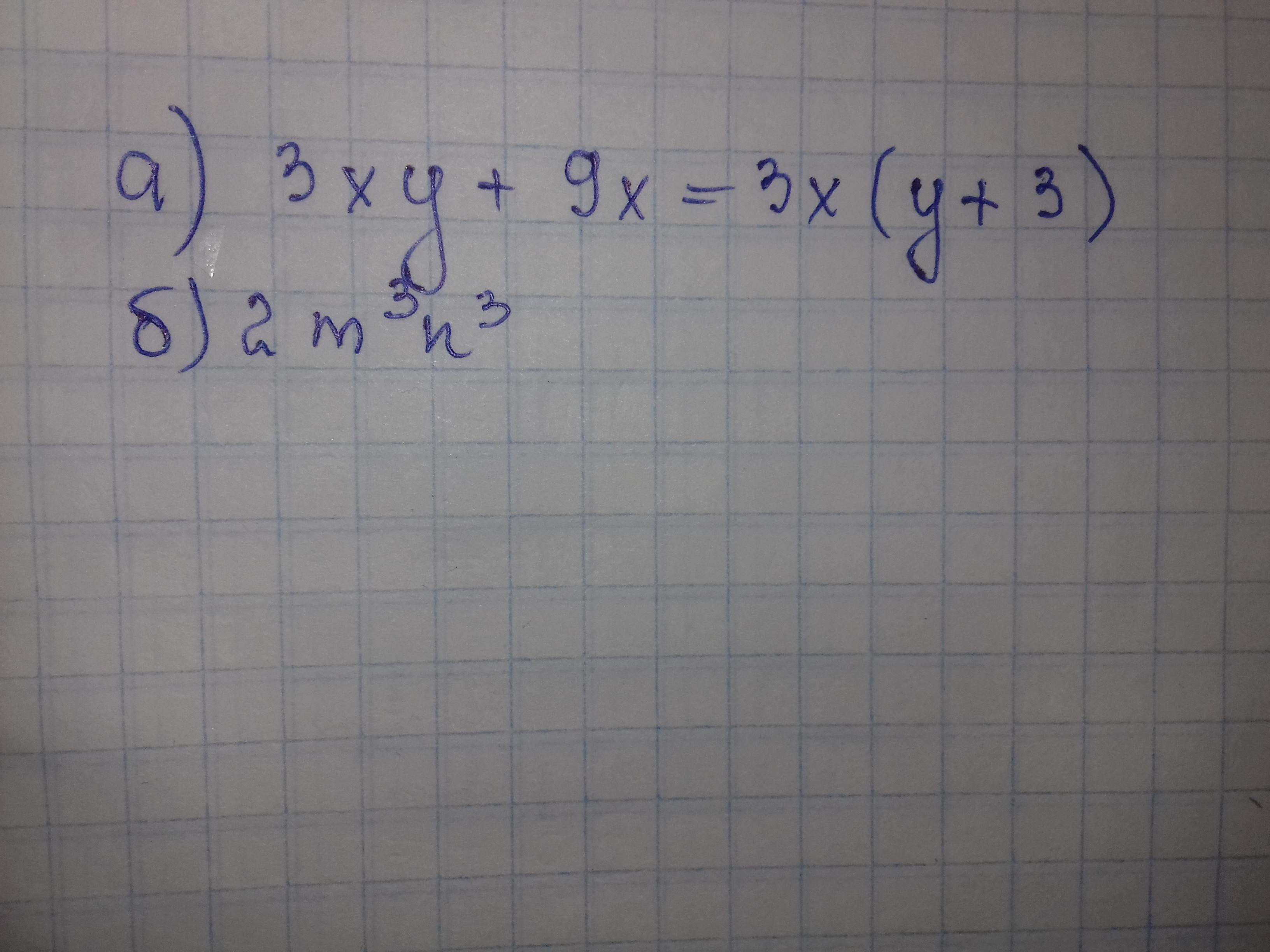
a)3xy+9x
б)2m^3n^3
olgaglykhova:
Под буквой б не очень понятно
Ответы
Ответ дал:
0
Ответ:
Смотри фото ниже.
Объяснение:
Приложения:

( - или + )между множителями
Ответ дал:
0
Ответ:
Объяснение:
а) 3х(у+3)
б)
Вас заинтересует
2 года назад
2 года назад
2 года назад
2 года назад
8 лет назад
8 лет назад
9 лет назад
9 лет назад