• Предмет: Алгебра
  • Автор: nikita123811
  • Вопрос задан 11 лет назад

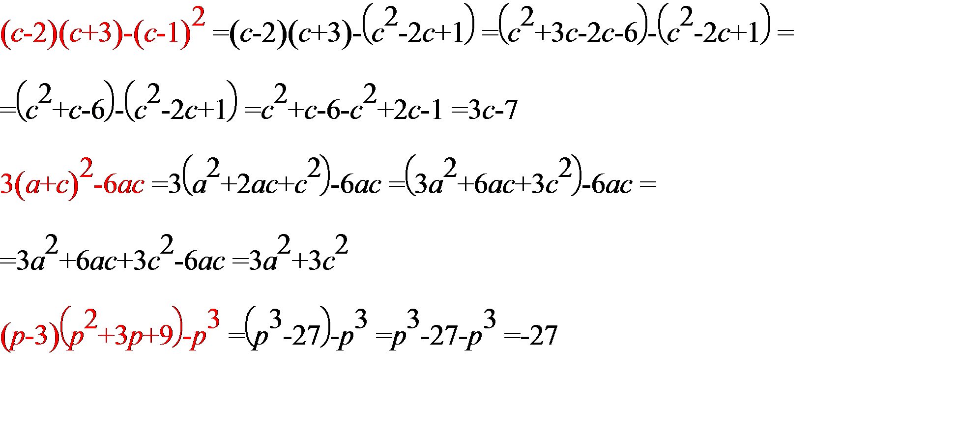
(c-2)(c+3)-(c-1)в квадрате 3(a+c)в квадрате - 6ac (p-3)(p в квадрате + 3p+9)-pв кубе

Ответы

Ответ дал: triolana
0

файл

========================

Приложения:
Ответ дал: Svet1ana
0

(c-2)(c+3)-(c-1)^{2}=c^{2}+3c-2c-6-(c^{2}-2c+1)=c^{2}+(3c-2c)-6-c^{2}+2c-1=c^{2}+c-6-c^{2}+2c-1=(c^{2}-c^{2})+(c+2c)+(-6-1)=3c-7

 

3(a+c)^{2}-6ac=3(a^{2}+2ac+c^{2})-6ac=3a^{2}+6ac+3c^{2}-6ac=3a^{2}+(6ac-6ac)+3c^{2}= 3a^{2}+3c^{2}

 

(p-3)(p^{2}+3p+9)-p^{3}=p^{3}+3p^{2}+9p-3p^{2}-9p-27-p^{3}=(p^{3}-p^{3})+(3p^{2}-3p^{2})+(9p-9p)-27=-27

Приложения:
Вас заинтересует