• Предмет: Алгебра
  • Автор: wefwfweioghfiguwe
  • Вопрос задан 7 лет назад

ПОМОГИТЕЕ!!! ДАЮ 20 БАЛЛОВ!
Вынеси общий множитель за скобки:
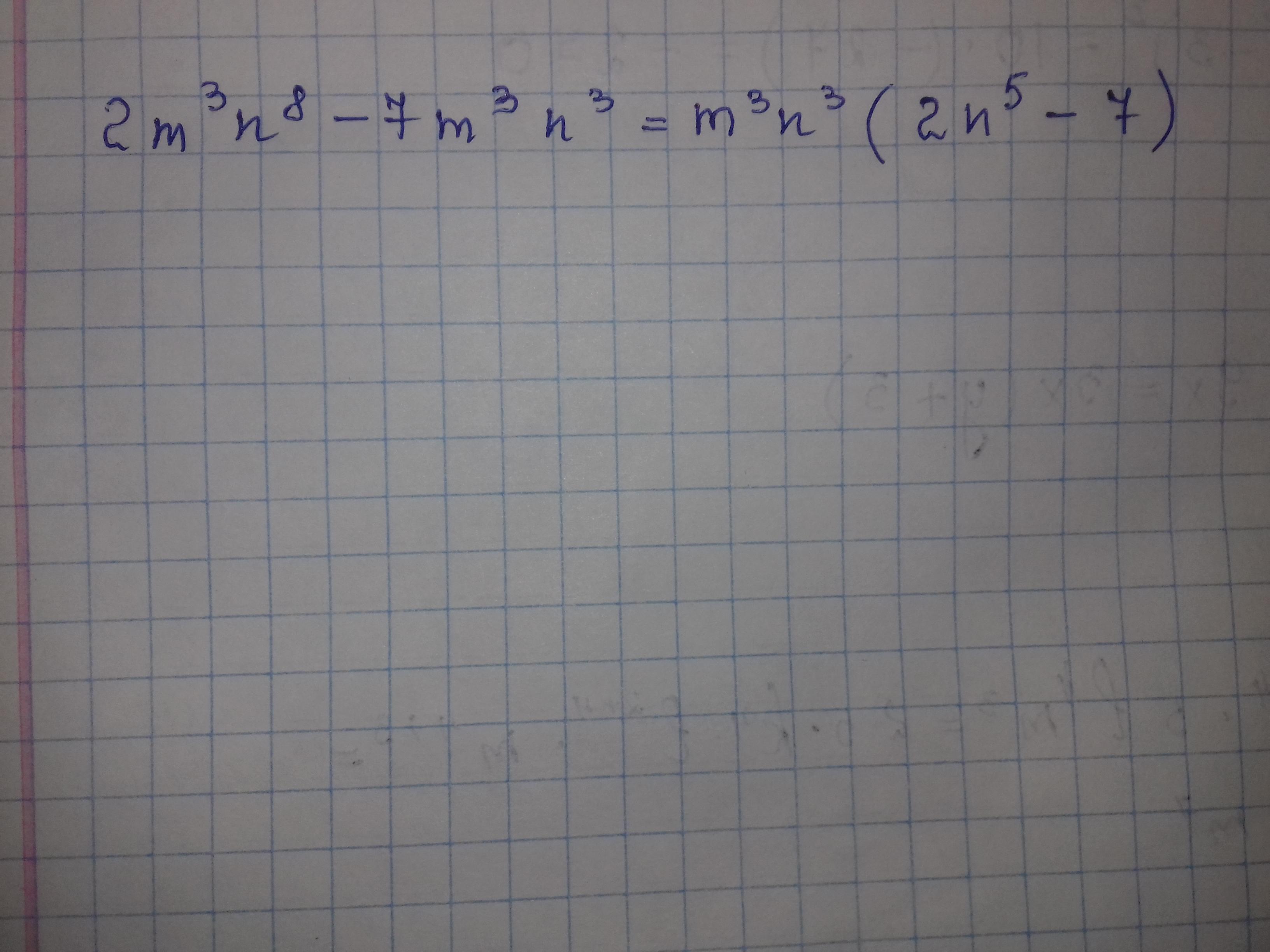
б)2m^3n^8-7m^3n^3


wefwfweioghfiguwe: ^ = степень

Ответы

Ответ дал: natali198112306
0

Ответ:

2m³n⁸-7m³n³=m³n³(2n⁵-7)

Объяснение:

Ответ дал: sadykovanatalya2004
1

Ответ:

Смотри фото ниже.

Объяснение:

Приложения:
Вас заинтересует