• Предмет: Алгебра
  • Автор: tikfana911
  • Вопрос задан 7 лет назад

Решите уравнение пожалуйста ​

Приложения:

Ответы

Ответ дал: dashhaaa15
1

Объяснение:

воооооооооотттт~~~~~~~

Приложения:
Ответ дал: OblivionFire
1

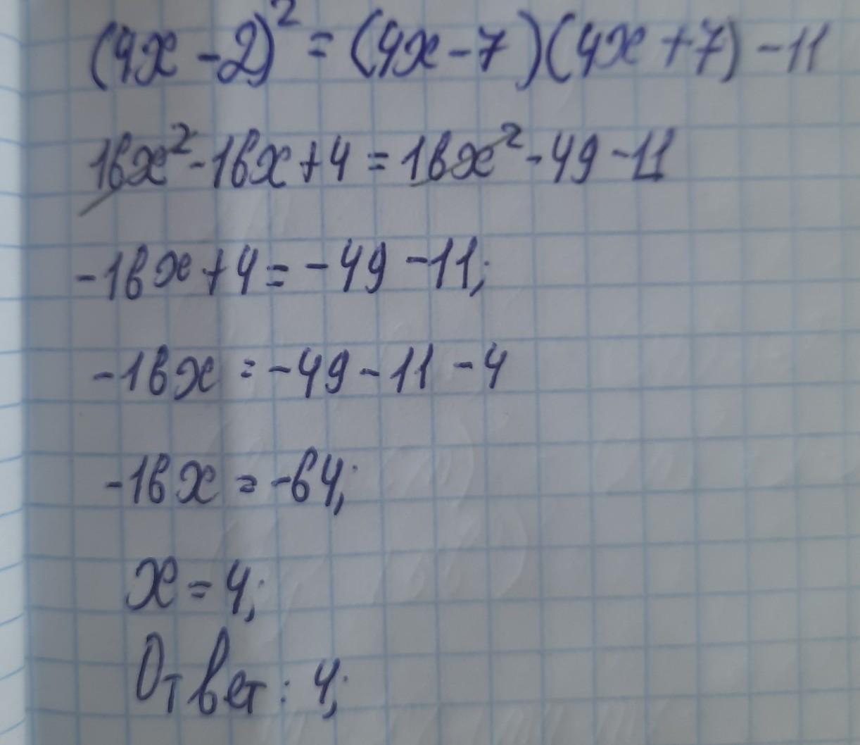
(4х-2)²=(4х-7)(4х+7)-11

раскроем скобки ,приводим подобные

16х²-16х+4=16х²-49-11

-16х+4= -60

-16х= -60-4

-16х= -64

х= -64:(-16)

х=4

_________

формулы

(а-б)²=а²-2аб+б²

(а-б)(а+б)=а²-б²

Вас заинтересует