• Предмет: Алгебра
  • Автор: nekt0o0
  • Вопрос задан 7 лет назад

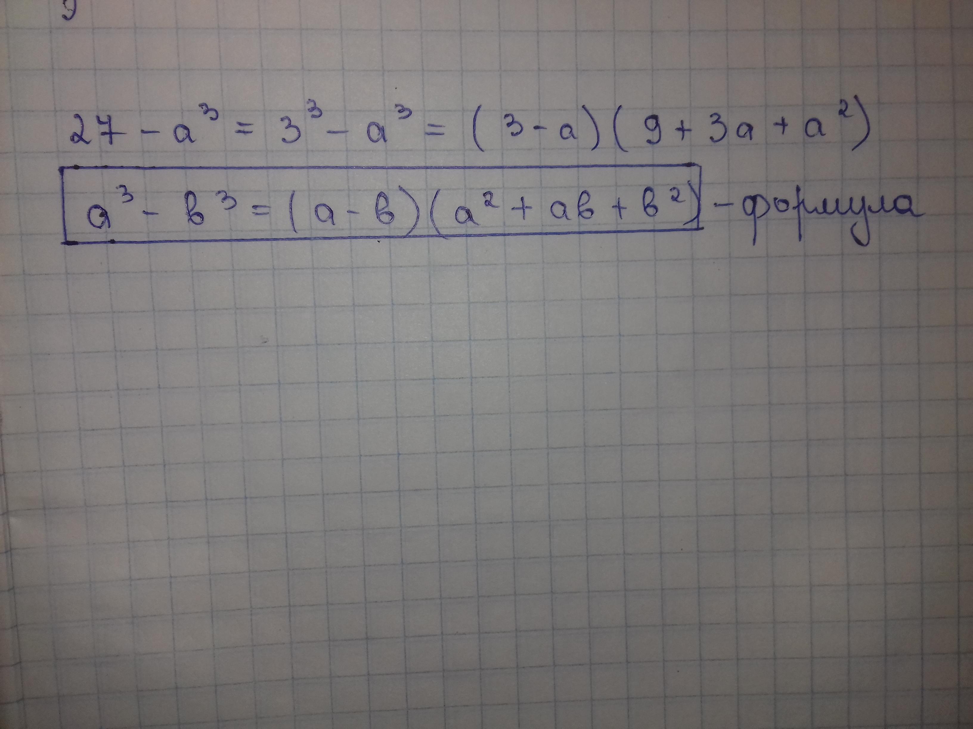
розкладіть на множники вираз 27-а³​

Ответы

Ответ дал: sadykovanatalya2004
1

Ответ:

Смотри фото ниже.

Объяснение:

Приложения:
Вас заинтересует