• Предмет: Математика
  • Автор: npulatov51
  • Вопрос задан 7 лет назад

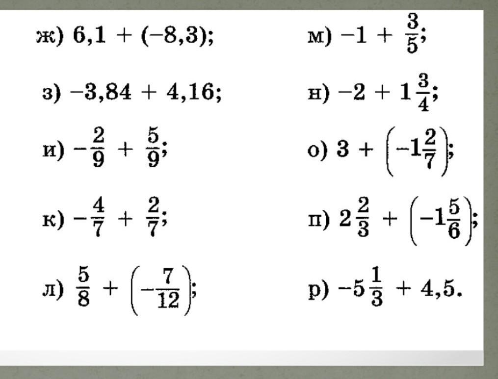
помогите пж срочно!!!дам 20 баллов​

Приложения:

Ответы

Ответ дал: kkdd3154
0

Ответ:

Ж)-2,2

З) 0,32

И) 3/1

К)-7/2

Л) 24/1

М)-5/2

Н)-4/1

О) 7/12

П) 6/5

Р)-6/5

Вас заинтересует