• Предмет: Алгебра
  • Автор: zip65
  • Вопрос задан 7 лет назад

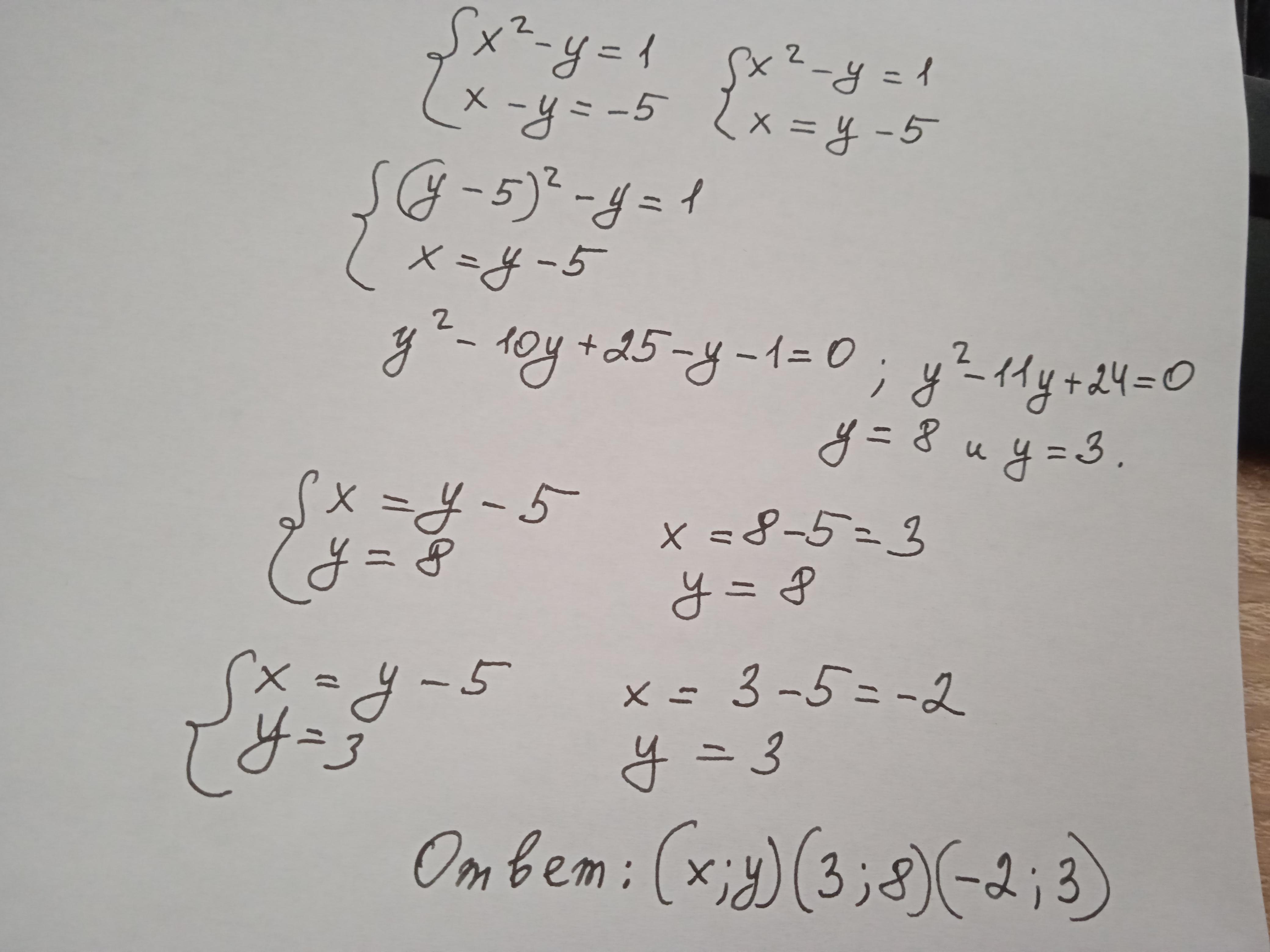
Розв'яжіть систему способом підстановки СРОЧНО!!!!!!!!

Приложения:

Ответы

Ответ дал: Пеппер
0

Ответ:

(3;8) (-2;3)

Объяснение:

Приложения:
Вас заинтересует