• Предмет: Математика
  • Автор: zhakimova076
  • Вопрос задан 7 лет назад

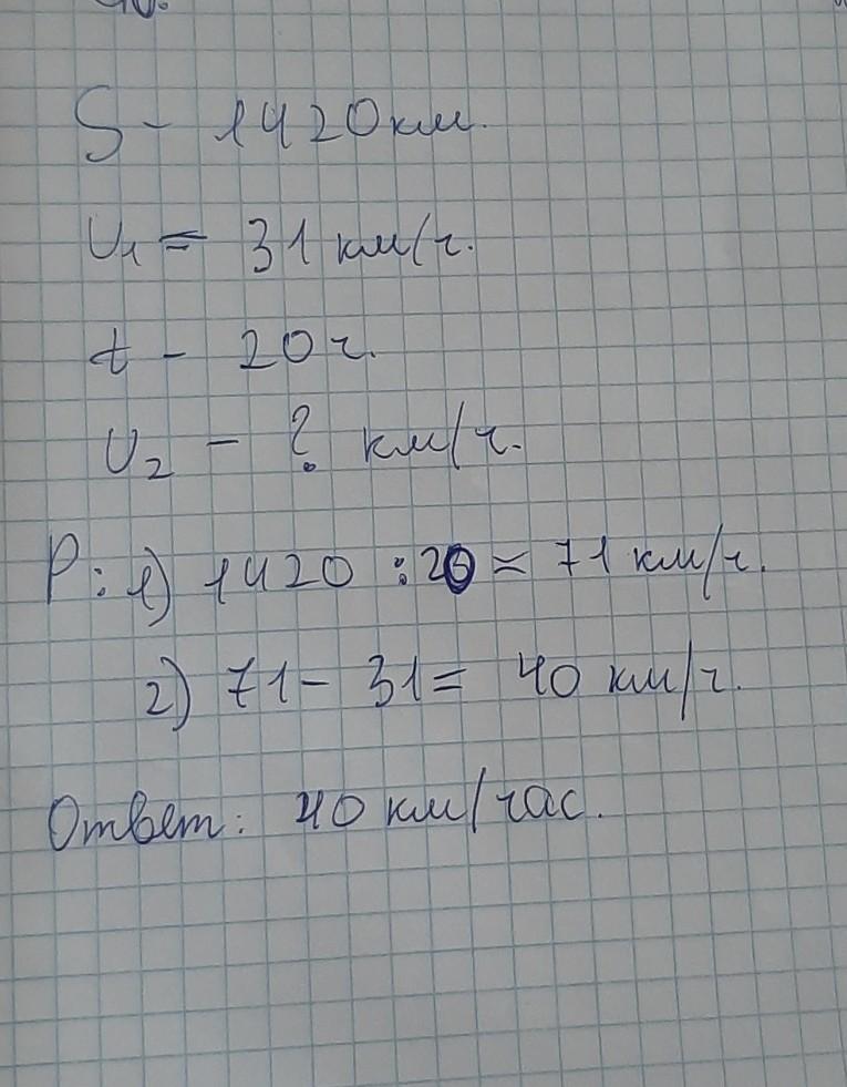
Решите задачу СДЕЛАЙТЕ УСЛОВИЮ ЗАДАЧИ ОБЯЗАТЕЛЬНО. ПОЖАЛУЙСТА БЫСТРЕЕ НА СЕГОДНЯ.​

Приложения:

Ответы

Ответ дал: Fadeev0406
1

Ответ:

40км/ч

Пошаговое объяснение:
S=1420 км
V
1= 31 км/ч
V
2= ?

t=20ч

1) 31*20= 620(км) - проплыл 1 теплоход
2) 1420-620=800(км)-проплыл 2 теплоход
3) 800/20=40(км/ч)-скорость теплохода

Ответ дал: asylkhanailana5
1

Ответ:

вроде так

Пошаговое объяснение:

сори если не правильно

Приложения:
Вас заинтересует