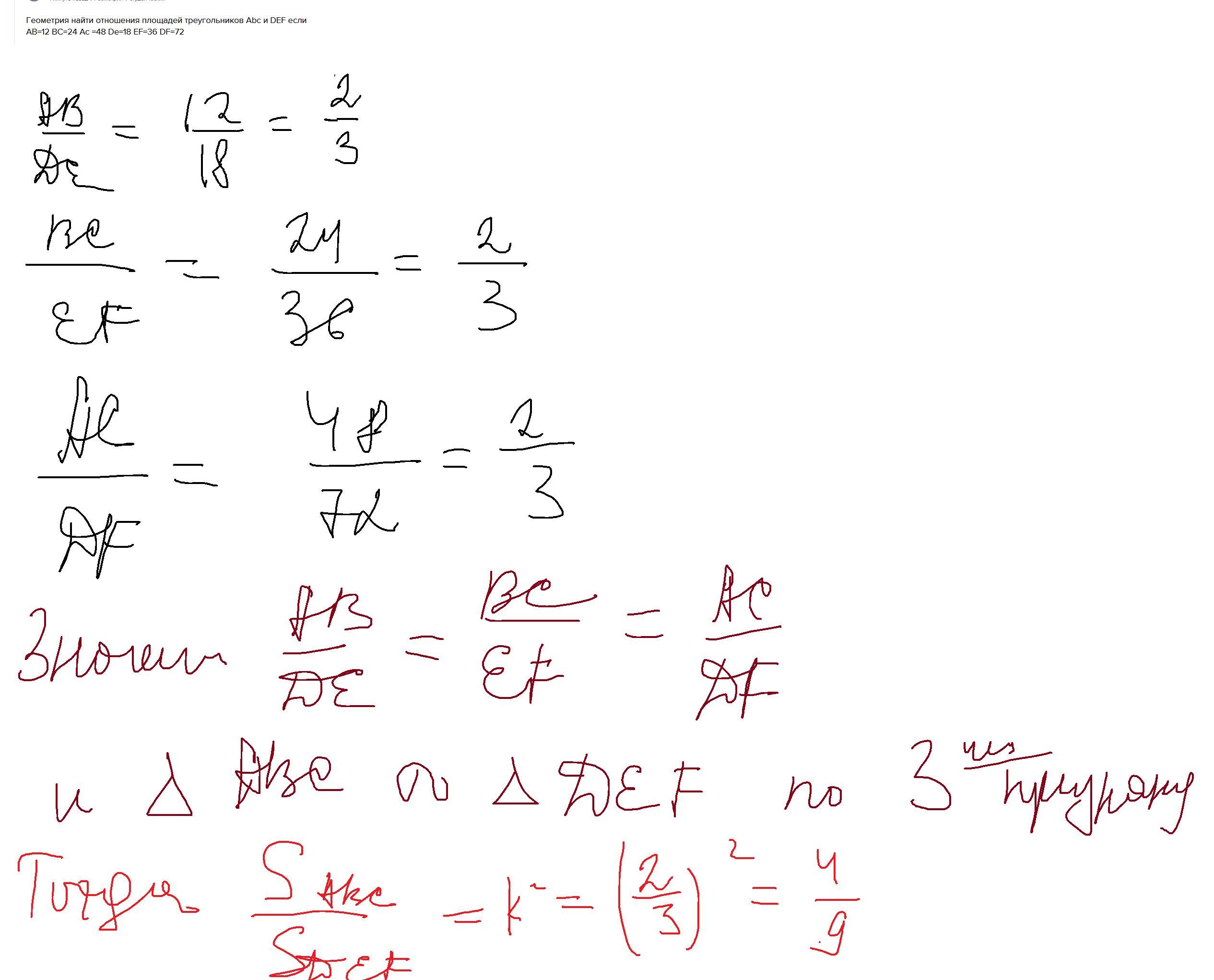
Геометрия найти отношения площадей треугольников Abc и DEF если AB=12 BC=24 Ac =48 De=18 EF=36 DF=72
Ответы
Ответ дал:
1
Ответ:
Объяснение:Геометрия найти отношения площадей треугольников Abc и DEF
Приложения:
Вас заинтересует
2 года назад
2 года назад
3 года назад
9 лет назад
9 лет назад
10 лет назад
10 лет назад