Ответы
Ответ дал:
3
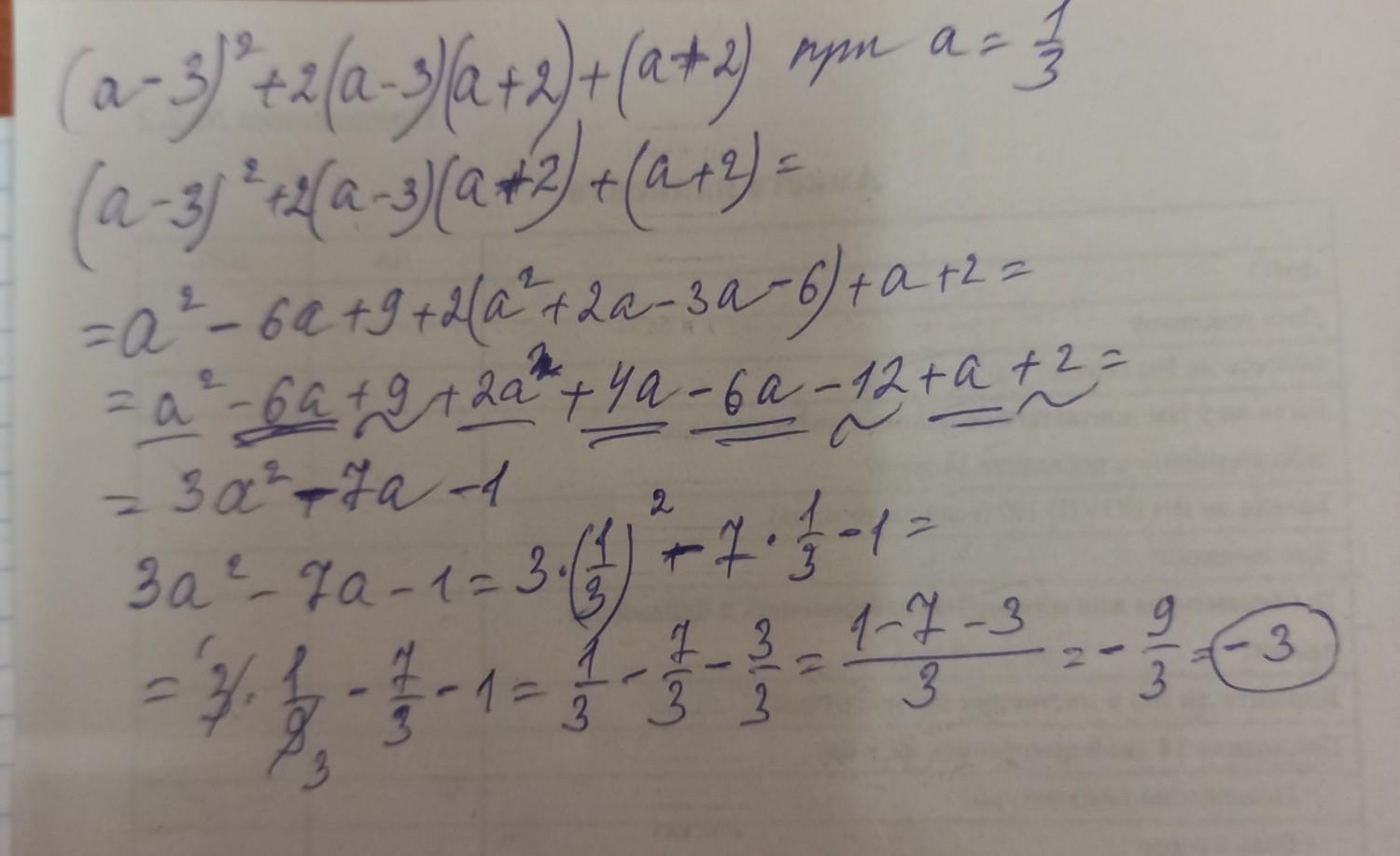
Вложение фото решения и ответа.
Приложения:

Вас заинтересует
2 года назад
2 года назад
2 года назад
8 лет назад
8 лет назад
9 лет назад