• Предмет: Физика
  • Автор: ImanDragon
  • Вопрос задан 7 лет назад

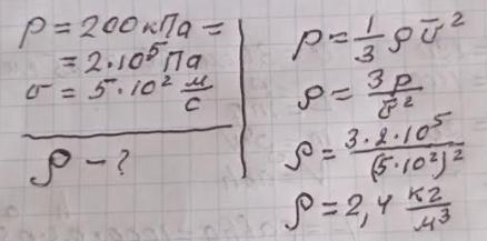
Срочно!!! Визначте густину газу при 200 кП, якщо середня квадратичка швидкість поступального руху молекул становить 500 м/с

Ответы

Ответ дал: zybkov1950
0

Ответ: 2,4

Объяснение: Объяснение на фото

Приложения:
Вас заинтересует